Содержание
Приставка наноамперметр к мультиметру

В этом устройстве использовался усилитель TS1001. Особенность, которая отличает микросхему TS1001, заключается в чрезвычайно низком энергопотреблении, схема работает нормально даже при напряжении 0,8 В и потребляет ток 0,8 мкА. Следовательно будет отлично работать в аккумуляторных устройствах, а энергопотребление её настолько мало, что даже не требуется пользоваться кнопкой подачи питания. Применяя разное значения резистора, разрешения варьируются от 1 мА / В до 1 мкА / В в четырех поддиапазонах. Используя любой популярный мультиметр можно измерить ток в диапазоне наноампер. Входной ток смещения усилителя TS1001 составляет 25 пА, поэтому самый низкий диапазон был специально выбран 1 мкА / В. Подробнее здесь…
Как проверить стартер
Это устройство входит в состав электромагнитной пускорегулирующей аппаратуры и при совместной работе с дросселем обеспечивает запуск процесса образования тлеющего разряда в колбе ЛДС при подаче переменного напряжения сети на контакты светильника. Конструктивно стартер выполнен в виде небольшой лампочки, внутренняя полость которой заполнена инертным газом.
Внутри колбы находятся два биметаллических контакта, один из которых имеет сложный профиль. В исходном состоянии контакты разомкнуты. При подаче на выводы стартера напряжения в газовой среде возникает дуговой разряд, который нагревает контакты. Они изменяют свою форму и происходит их короткое замыкание, в цепи начинает протекать электрический ток.

Схема из лампы и дросселя.
Контакт имеет меньшее переходное сопротивление, чем существующая до этого «дуга» и температура в нем начинает уменьшаться. Это остывание приводит к повторному изменению формы контактов, в результате которого происходит их размыкание. Дроссель балласта в этот момент вырабатывает высоковольтный импульс, который приводит к появлению тлеющего разряда в ЛДС и протеканию в ней тока, ионизирующего газово-ртутную смесь. Стартер выполнил свое предназначение – произвел запуск. Если цикл прошел по описанному сценарию, то стартер прошел тестирование в составе ЭмПРА. Другим способом проверки его работоспособности может быть только его замена исправным и имеющим те же параметры, что и исследуемый.
СДЕЛАЕМ УПРОЩЕННЫЙ РАСЧЕТ ТРАНСФОРМАТОРА 220/36 ВОЛЬТ.
Мощность во вторичной цепи: Р_2 = U_2 · I_2 = 60 ватт
Особенности активно-емкостной нагрузки
Где:Р_2 – мощность на выходе трансформатора, нами задана 60 ватт ;
U _2 – напряжение на выходе трансформатора, нами задано 36 вольт ;
I _2 – ток во вторичной цепи, в нагрузке.
КПД трансформатора мощностью до 100 ватт обычно равно не более η = 0,8 .КПД определяет, какая часть мощности потребляемой от сети идет в нагрузку. Оставшаяся часть идет на нагрев проводов и сердечника. Эта мощность безвозвратно теряется.
Определим мощность потребляемую трансформатором от сети с учетом потерь:
Р_1 = Р_2 / η = 60 / 0,8 = 75 ватт .
Мощность передается из первичной обмотки во вторичную через магнитный поток в магнитопроводе.Поэтому от значения Р_1
, мощности потребляемой от сети 220 вольт, зависит площадь поперечного сечения магнитопровода S .
Магнитопровод – это сердечник Ш – образной или О – образной формы, набранный из листов трансформаторной стали. На сердечнике будут располагаться первичная и вторичная обмотки провода.
Реактивное сопротивление
Площадь поперечного сечения магнитопровода рассчитывается по формуле:
S = 1,2 · √P_1.
Где:S – площадь в квадратных сантиметрах,P _1 – мощность первичной сети в ваттах.
S = 1,2 · √75 = 1,2 · 8,66 = 10,4 см².
По значению S определяется число витков w на один вольт по формуле:
w = 50/S
В нашем случае площадь сечения сердечника равна S = 10,4 см.кв.
w = 50/10,4 = 4,8 витка на 1 вольт.
Рассчитаем число витков в первичной и вторичной обмотках.
Число витков в первичной обмотке на 220 вольт:
W1 = U_1 · w = 220 · 4.8 = 1056 витка.
Число витков во вторичной обмотке на 36 вольт:
W2 = U_2 · w = 36 · 4,8 = 172.8 витков ,
округляем до 173 витка .
В режиме нагрузки может быть заметная потеря части напряжения на активном сопротивлении провода вторичной обмотки. Поэтому для них рекомендуется число витков брать на 5-10 % больше рассчитанного. Возьмем W2 = 180 витков.
Величина тока в первичной обмотке трансформатора:
I_1 = P_1/U_1 = 75/220 = 0,34 ампера .
Ток во вторичной обмотке трансформатора:
I_2 = P_2/U_2 = 60/36 = 1,67 ампера.
Диаметры проводов первичной и вторичной обмоток определяются по значениям токов в них исходя из допустимой плотности тока, количества ампер на 1 квадратный миллиметр площади проводника. Для трансформаторов плотность тока,для медного провода,
принимается 2 А/мм² .
При такой плотности тока диаметр провода без изоляции в миллиметрах определяется по формуле: d = 0,8√I .
Для первичной обмотки диаметр провода будет:
d_1 = 0,8 · √1_1 = 0,8 · √0,34 = 0,8 · 0,58 = 0,46 мм. Возьмем 0,5 мм .
Диаметр провода для вторичной обмотки:
d_2 = 0,8 · √1_2 = 0,8 · √1,67 = 0,8 · 1,3 = 1,04 мм. Возьмем 1,1 мм.
ЕСЛИ НЕТ ПРОВОДА НУЖНОГО ДИАМЕТРА, то можно взять несколько, соединенных параллельно, более тонких проводов. Их суммарная площадь сечения должна быть не менее той, которая соответствует рассчитанному одному проводу.
Площадь поперечного сечения провода определяется по формуле:
s = 0,8 · d².
где : d – диаметр провода .
Например: мы не смогли найти провод для вторичной обмотки диаметром 1,1 мм.
Площадь поперечного сечения провода диаметром 1,1 мм. равна:
s = 0,8 · d² = 0,8 · 1,1² = 0,8 · 1,21 = 0,97 мм² .
Округлим до 1,0 мм².
Изтаблицывыбираем диаметры двух проводов сумма площадей сечения которых равна 1.0 мм².
Например, это два провода диаметром по 0,8 мм . и площадью по0,5 мм² .
Или два провода:– первый диаметром 1,0 мм . и площадью сечения 0,79 мм² ,– второй диаметром 0,5 мм . и площадью сечения 0,196 мм² .что в сумме дает: 0,79 + 0,196 = 0,986 мм². Намотка катушки ведется двумя проводами одновременно, строго выдерживается равное количество витков обоих проводов. Начала этих проводов соединяются между собой. Концы этих проводов также соединяются.
Получается как бы один провод с суммарным поперечным сечением двух проводов.
Смотрите статьи:– «Как намотать трансформатор на Ш-образном сердечнике».– «Как изготовить каркас для Ш – образного сердечника».
Электрический аппарат – трансформатор используется для преобразования поступающего переменного напряжения в другое – исходящее, к примеру: 220 В в 12 В (конкретно это преобразование достигается использованием понижающего трансформатора). Прежде чем разбираться с тем, как рассчитать трансформатор, вы в первую очередь должны обладать знаниями о его структуре.
Простейший трансформатор является компоновкой магнитопровода и обмоток 2-х видов: первичной и вторичной, специально намотанных на него. Первичная обмотка воспринимает подающееся переменное напряжение от сети (н-р: 220 В), а вторичная обмотка, посредством индуктивной связи создает другое переменное напряжение. Разность витков в обмотках влияет на выходное напряжение.
Приложение
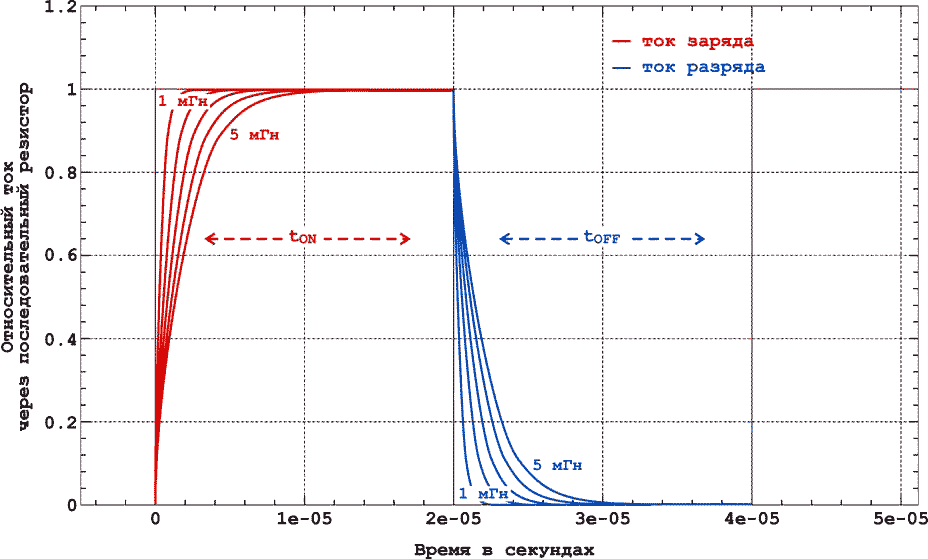
Прежде всего, рассмотрим зависимость от времени тока в LR цепи. Как известно, она имеет следующий вид:
| (1) |
где
– максимальное значение, к которому в пределе стремится ток i. При использованных в схеме номиналах компонентов обвязки NE555, в положении переключателя, соответствующем пределу измерений 5 мГн, tON ≈ 20 мкс. При этом максимальное возможное значение отношения R/L равно 2.500/0.005 = 500,000. Таким образом, мы видим, что при t = tON значение экспоненты в выражении (1) практически равно нулю, так как
Это позволяет считать, что i = i при t = tON.
Далее рассмотрим спад тока в течение времени tOFF. Зависимость тока от времени t описывается следующим выражением:
| (2) |
Поскольку tOFF ≈ tON, из аналогичных рассуждений следует, что i = 0 при t = tOFF. Графики нарастания/спада тока в LR цепи приведены на Рисунке 2.
![]() |
|
| Рисунок 2. | Временная диаграмма изменения тока при различных значениях LX (1…5 мГн), R = 2.5 кОм. |
Временная диаграмма на Рисунке 2 ясно показывает, что в конце интервала tON ток достигает максимума, а в конце tOFF – нуля. Средний ток через измеритель можно рассчитать как
| (3) |
| (4) |
Мы видим, что средний ток прямо пропорционален значению индуктивности LX. В связи с тем, что выполнение необходимого соотношения tOFF ≈ tON обеспечивается только значениями сопротивлений R1 и R2, для переключения диапазонов измерения можно изменять емкость подключенного к NE555 конденсатора. Чтобы расширить диапазон измерений вдвое достаточно просто удвоить емкость конденсатора.
Индуктивность обладает активным сопротивлением, зависящим от длины и диаметра провода. Чтобы учесть эту составляющую, (4) можно модифицировать следующим образом:
| (5) |
или
![]() |
(6) |
Как видим, по существу, индуктивность теперь оказалась умножена на коэффициент
Практически это означает, что пиковый ток i, протекающий через индуктивность, уменьшился до величины iR/(R+RLx).
Чтобы преобразовать (4) в (6) и учесть активное сопротивление индуктивности, R в знаменателе (4) мы заменили на (R+RLx), а затем числитель и знаменатель домножили на R и привели выражение к виду (6).
RLx можно измерить отдельно с помощью омметра. Значение R известно, и в нашей конструкции оно равно 2.5 кОм. Заметим, что заменив это сопротивление на 5 кОм, диапазон измерений 0…5 мГн можно расширить до 0…10 мГн. При этом характер временных диаграмм никак не изменится, но пиковый ток i уменьшится вдвое.
Возможно, для получения правильных результатов измерения величину сопротивления R придется слегка скорректировать. Фактическая индуктивность равна измеренной индуктивности, умноженной на величину, обратно пропорциональную упоминавшемуся выше коэффициенту, т.е.
| . |
Цифровой мультиметр
В отличие от аналоговых, этот мультиметр позволяет с легкостью определять интересуемые величины, при этом его точность измерений гораздо выше по сравнению со стрелочными аппаратами.
Также наличие переключателя между различными характеристиками электричества исключает возможность перепутать то или иное значение, поскольку пользователю не нужно разбираться в градации шкалы показаний.
Результаты измерений отображаются на дисплее (в более ранних моделях – светодиодных, а в современных – жидкокристаллических). За счет этого цифровой мультиметр комфортен для профессионалов и прост и понятен в использовании для новичков.

↑ Калибровка измерителя индуктивности
В статье рекомендуется следующий способ калибровки (для примера первого диапазона). Подключаем катушку с индуктивностью 100 мкГ, движком подстроечного резистора P1 устанавливаем на дисплее число 100,0. Затем подключаем катушку с индуктивностью 15 мкГ и тем же подстроечником добиваемся индикации числа 15 с точностью 5%. Аналогично — в остальных диапазонах. Естественно, что для калибровки нужны точные индуктивности, либо образцовый прибор, которым необходимо измерить имеющиеся у вас индуктивности. У меня, к сожалению, с этим были проблемы, так что нормально откалибровать не получилось. В наличии у меня есть десятка два катушек, выпаянных из разных плат, большинство из них без какой-либо маркировки.
Их я измерил на работе прибором (совсем не образцовым) и записал на кусочках бумажного скотча, которые прилепил к катушкам. Но тут ещё проблема и в том, что у любого прибора тоже есть какая-то своя погрешность.
Есть ещё один вариант: можно использовать программу LIMP
, хорошо описанную на Датагоре . Из деталей нужен всего один резистор, два штеккера и два зажима. Также нужно научиться пользоваться данной программой, как пишет автор, измерения «требуют определённой работы мозга и рук». Хотя точность измерений здесь тоже «радиолюбительская», у меня получились вполне сравнимые результаты.
↑ Схема измерителя индуктивности
Исключён фрагмент. Полный вариант статьи доступен меценатам и полноправным членам сообщества. Читай условия доступа.
В качестве средства измерения и индикации в схеме, описанной в статье, применяется цифровой вольтметр с чувствительностью 200 мВ
, который продаётся в виде готового модуля. Я же решил использовать для этой цели обычный цифровой мультиметрUNI-T M838 на пределе измерения200 мВ постоянного напряжения. Соответственно, схема упрощается, и в итоге приобретает вид приставки к мультиметру.
Исключён фрагмент. Полный вариант статьи доступен меценатам и полноправным членам сообщества. Читай условия доступа.
Я не буду повторять описание работы схемы, всё вы можете прочитать в оригинальной статье (архив внизу). Скажу только немного о калибровке.
Что зовется индуктивным сопротивлением
Когда на катушку подают переменное напряжение, ток, проходящий по ней, меняется согласно поданному напряжению. Это служит причиной изменения магнитного поля, создающего электродвижущую силу, препятствующую происходящему.

Схема для измерения
В такой цепи имеется зависимость электрических параметров от двух видов: обычного и индуктивного. Они обозначаются, соответственно, как R и XL.
На обычном происходит выделение мощности. Однако на реактивных элементах она является нулевой. Это связано с постоянным изменением направления переменного тока.
В течение одного периода колебаний энергия дважды закачивается в катушку и столько же раз возвращается в источник.

Определение индуктивности
Связанные материалы
Измерение индуктивности трансформатора или дросселя… Часто самодельщики-ламповики озадачены определением индуктивности обмотки(ок)… LIMP Arta Software — программный измеритель RCL… Продолжу описание программы LIMP из пакета фирмы Arta Software. С ее помощью можно определять…
Coil32 v9.0 — программа для расчета катушек индуктивности… Всем, кто занимался изготовлением (и ремонтом) приемников, передатчиков, акустических систем, ИБП,…
ESR (ЭПС) измеритель — приставка к цифровому мультиметру… Статья о приборе для измерения ESR (ЭПС) конденсаторов появилась в журнале «Радио» №8 за 2011 год….

Измерения переменного напряжения звуковой частоты мультиметрами М-832… Вряд ли будет преувеличением сказать, что тестер семейства М-83х есть у каждого радиолюбителя….
Оживление акустики S-30… Главное достоинство S-30 — очень правильный тональный баланс (ИМХО). Переделывались 4-омные…
Маркировка электронных компонентов. А.В.Перебаскин… Маркировка электронных компонентов. — 9-е изд., стер. — М. Издательский дом «Додэка-ХХI», 2004. —…
Определитель насыщения сердечников из феррита или как сделать дроссель для импульсного источника питания… «Делай с нами, делай как мы, делай лучше нас!» Предлагаю вашему вниманию простой прибор, который…
«V6» — измеритель RMS-значений напряжения, тока, активной и полной мощности (Atmega 8)… Весьма часто возникает необходимость знать величину потребляемой (активной) мощности различными…
Какое строение имеют источники светового потока
Дневное освещение является самым экономичным вариантом в плане освещения. При этом оно лучше всего подходит для глаз, благодаря чему служит отличной альтернативой всем существующим на сегодняшний день вариантам подсветки помещений. Для создания дневного света сегодня используются различие виды люминесцентных ламп. Такие лампы могут классифицироваться по оттенку и яркости излучаемого света:
- теплый белый;
- холодный белый;
- желтоватый тон.

Схема дросселя.
Дроссель
Но для повышения их безопасности во время работы принято использовать специальный прибор – дроссель. Им оснащены все лампы дневного света. Покупая светильник дневного света, обязательно поинтересуйтесь у продавца гарантией и другой сопроводительной документацией на приобретаемое изделие. Так вы точно купите качественный прибор для своих нужд. Что же представляет собой дроссель? Внешне дроссель имеет вид катушки индуктивности, у которой имеется специальный ферримагнитный сердечник. Это такая деталь, которая необходима для стабильной работы любой лампы при создании дневного света. По сути, дроссель входит в состав энергосберегающего источника света, установленного в светильнике. Частые поломки и способы их проверки мультимером указаны в таблице ниже:

Таблица основных поломок дросселя и способы их проверки мультимером.
При его неисправности или падении работоспособности на концах лампы появляются почернения. В задачи данной детали входит контроль напряжения, создаваемого на выходных контактах энергосберегающего источника света. Очень часто дроссель входит в состав люминесцентных ламп. Для того чтобы источник дневного света не погас, создается балласт. Он способен поддерживать в контактах осветительного прибора ток на требуемом уровне.
По существующим на сегодняшний день стандартам, такой балласт нужно подключать последовательно. Затем к нему параллельно подсоединяют стартер. Он ответственен за зажигание лампы.
Такое строение и способ подключения играет важную роль в работоспособности лампы, используемой для создания дневного света в помещении. Поэтому если имеются неисправности, то в первую очередь нужно проверить дроссель. О том, как это сделать мы расскажем несколько ниже. Чтобы понять, почему лампы дневного света перестали работать, необходимо быть знакомым с их конструкцией, а также принципом работы. Это нужно для того, чтобы по косвенным признакам проверить их работоспособность и определиться с вариантами починки. На данный момент в продаже существует несколько типов люминесцентных ламп. Но все они имеют одинаковое строение.

Тороидальный дроссель.
Рис. 2.40. Треугольник напряжений, определяющий угол α
Тангенс угла α находят так. Откладывают на произвольной прямой MN (рис. 2.41) отрезок АС, пропорциональный напряжению U2 на резисторе R. Затем проводят из точек А и С, как из центров, радиусами, пропорциональными напряжению U источника питания и напряжению U1 на обмотке, две дуги. Соединяют точку В пересечения этих дуг с точкой С и опускают из точки В перпендикуляр BD на прямую MN. В заключение удлиняют высоту BD треугольника ABC до 100 мм (отрезок DK) и проводят через точку К прямую KP, параллельную стороне ВС треугольника ABC. Если принять отрезок DK за единицу, то отсекаемый при этом на прямой MN отрезок PD и будет численно равен тангенсу угла α.
В тех случаях, когда сопротивление катушки постоянному току превышает ее индуктивное сопротивление, измерение Lx проводят при другой, более высокой, частоте (например, 400 или 800 Гц). Форма кривой напряжения на выходе источника напряжения этой повышенной (звуковой) частоты должна быть синусоидальной.
Измеритель индуктивности для мультиметра
Несмотря на то, что определять индуктивность при работе с электроникой приходится редко, это все же иногда необходимо, а мультиметры с измерением индуктивности найти достаточно трудно. В данной ситуации поможет специальная приставка к мультиметру, позволяющая измерить индуктивность.
Зачастую для подобной приставки используется цифровой мультиметр установленный на измерение напряжения с порогом точности измерения в 200 мВ, который можно приобрести в любом магазине электро и радиоаппаратуры в готовом виде. Это позволит сделать простую приставку к цифровому мультиметру.
Сборка платы приставки.
Собрать приставку-тестер к мультиметру для измерения индуктивности можно без особых проблем в домашних условиях, обладая базовыми знаниями и навыками в области радиотехники и пайки микросхем.
В схеме платы можно применять транзисторы КТ361Б, КТ361Г и КТ3701 с любыми буквенными маркерами, но для получения более точных измерений лучше использовать транзисторы с маркировкой КТ362Б и КТ363. Эти транзисторы устанавливаются на плате в позициях VT1 и VT2. На позиции VT3 необходимо установить кремневый транзистор со структурой p-n-p, например, КТ209В с любой буквенной маркировкой. Позиции VT4 и VT5 предназначены для буферных усилителей. Подойдет большинство высокочастотных транзисторов, с параметрами h21Э для одного не меньше 150, а для другого более 50.
Для позиций VD и VD2 подойдут любые высокочастотные кремневые диоды.
Резистор можно выбрать МЛТ 0,125 или аналогичный ему. Конденсатор С1 берется с номинальной емкостью 25330 пФ, поскольку он отвечает за точность измерений и ее значение стоит подбирать с отклонением не более 1%. Такой конденсатор можно сделать объединив термостабильные конденсаторы разной емкости (например, 2 на 10000 пФ, 1 на 5100 пФ и 1 на 220 пФ). Для остальных позиций подойдут любые малогабаритные электролитические и керамические конденсаторы с допустимым разбросом в 1,5-2 раза.
Проводу к «бананам» и «крокодилам» лучше взять короче, что бы уменьшить влияние их собственной индуктивности на показания замеров. В месте припаивания проводов к плате, соединение стоит дополнительно зафиксировать каплей термоклея.
При необходимости регулирования диапазона измерений на плату можно добавить разъем для переключателя (например, на три диапазона).
2.32. Измерение индуктивностей низкочастотных катушек
2) устанавливают с помощью автотрансформатора АТ напряжение на уровне 10 В и замечают показание U1 вольтметра, то есть падение напряжения на исследуемой катушке;
3) переводят ползунок переключателя из положения 1—3 в положение 1—2, присоединяя таким образом вольтметр параллельно резистору, и подбирают такое значение сопротивленияR = R2,при котором падение напряжения на резисторе также равноU1.
4) вычисляют индуктивность катушки по формуле:
L’x = 0,00318 √RR2 Гн, (32)
где R1 иR2 — сопротивления резистора (Ом) при нахождении ползунка переключателя в положениях 1—3 и 1—2.
При отсутствии переменного резистора индуктивность катушки измеряют с помощью постоянного резистора. Схема и процесс измерения остаются прежними, формула же для подсчета Lх — дополняется множителем U1/U2,то есть приобретает вид:
L”x = 0,00318 R(U1/U2) Гн, (33)
где R — сопротивление резистора, Ом,
U1 иU2 — показания вольтметра в положениях 1—3 и 1—2 ползунка переключателя.
В большинстве случаев индуктивные сопротивления обмоток намного превышают их активные сопротивления, поэтому приведенные выше формулы дают достаточно точные значения индуктивности.
Однако если число витков катушки мало, а сопротивление постоянному (или переменному) току велико (несколько десятков или сотен Ом), то L’x и L”x вычисляют по другим, более точным формулам, а именно:
(34)
где R — сопротивление резистора при нахождении ползунка переключателя в положении 1—2; U — напряжение на последовательно соединенных R и Lx; U2— напряжение на резисторе равное напряжению U1на катушке Lх;
Lx” = 0,00318 R0 / tg α,
где R — активное сопротивление обмотки;
α — угол, образованный стороной ВС треугольника ABC (рис. 2.40) и перпендикуляром, опущенным из точки В на продолжение стороны ЛС.
Измерение индуктивности катушек резонансным методом
Запись опубликована alex123al97 · 17 октября 2017
14
Когда-то задался целью найти простой способ измерения индуктивности катушек. И тут вдруг вспомнил университетский курс ТОЭ (теоретические основы электротехники), а именно: резонанс в параллельном колебательном контуре, характерный всплеском напряжения. Взяв этот фактор за основу и вспомнив формулу Томсона — зависимость трех составляющих: индуктивности (L), емкости (C) и частоты (f), сваял простенькую схему.
Суть метода состоит в подборе резонансной частоты для собранного колебательного контура с известной (проверенной) емкостью конденсатора. Резонансная частота засекается любым мультиметром по пику напряжения на контуре. А зная частоту и емкость можно вычислить индуктивность.
В качестве генератора частоты использовал звуковую карточку (ЗК) ПК и скачанную с интернета одну из многочисленных программ – генераторов.
Для примера проведу парочку наглядных измерений.
Опыт №1. Беру известные конденсатор 1,5uF и дроссель ДМ-0,6-50 мкГн. Собираю контур, подключаю блок к ЗК и мультиметру, запускаю генератор и прогоняю частоту в обратном порядке – начиная с 20 кГц в сторону уменьшения. Напряжение сразу начало возрастать и застыло на максимуме в пределах 18,85-18,65 кГц, откуда выбрал среднее значение – 18,75 кГц.
Далее можно проводить расчеты вручную, можно ввести формулу в Excell, можно написать программку, а можно и воспользоваться многочисленными онлайн калькуляторами, что я и сделал, используя первый попавшийся сайт: https://coil32.ru/calc/jslcc.html
Ввожу емкость, частоту и без малого получаю указанную на дросселе индуктивность.
Опыт №2. Беру неизвестный дроссель на ферритовом сердечнике типа «гантелька» и конденсатор 1uF. Собираю схему, прогоняю частоту, вычисляю по предыдущей методе ее среднее значение — 10,45 кГц и снова загоняю данные в калькулятор, который выдал значение 232 мкГн.
Меряю индуктивность недавно приобретенным тестером LCR-T4 и получаю результат (с учетом разрядности) 240 мкГн.
Как видите, метод немного неудобный, заставляет подстраивать контур под ограниченные пределы частоты, но имеет право на жизнь. Насколько точно он меряет – вопрос философский, поскольку все в этом мире относительно. Лично меня в схемотехнике он не подводил и долгое время устраивал простотой и минимальными требованиями к ресурсной базе и измерительной аппаратуре.
Принцип действия
Схема работы катушек индуктивности активного действия основан на том, что каждый отдельный виток намотки пересекается с магнитными силовыми линиями. Этот электрический элемент необходим для того, чтобы извлекать электрическую энергию из источника питания и преобразовывая её сохранять в виде электрического поля. Соответственно, если ток цепи увеличивается – то расширяется и магнитное поле, но если он уменьшается – поле будет неизменно сжиматься. Эти параметры также зависят от частоты и напряжения, но в целом, действие остается неизменным. Включение элемента производит сдвиг фаз тока и напряжения.

Фото — принцип работы
Помимо этого, индуктивные (каркасные и бескаркасные) катушки обладают свойством самоиндукции, его расчет производится исходя из данных номинальной сети. В многослойной и однослойной обмотке создается напряжение, которое противоположно напряжению электрического тока. Это называется ЭДС, определение электродвижущей магнитной силы зависит от показателей индуктивности. Её можно рассчитать по закону Ома. Стоит отметить, что независимо от напряжения сети, сопротивление в катушке индуктивности не изменяется.

Фото — соединение отдельных выводов элементов
Связь индуктивности и понятия (изменения) ЭДС можно найти по формуле εc = — dФ/dt = — L*dI/dt, где ε – это значение ЭДС самоиндукции. И если скорость изменения электрической энергии будет равна dI/dt = 1 A/c, то и L = εc.
Видео: расчет катушки индуктивности
Неисправности светильников с ЭМПРА
Лампа не зажигается
- Неисправность электросети — проверить наличие напряжения на контактах патрона.
- Плохой контакт между лампой и контактами патрона или между стартером и контактами держателя — пошевелить лампу и стартер. Возможно надо подогнуть контакты патрона для лучшего прилегания.
- Неисправность лампы — проверить целостность нитей накала или заменить на заведомо исправную. Для проверки нитей накала выставляем мультиметр на минимальное сопротивление или на прозвонку и поочередно прозваниваем выводы цоколя с одной стороны и с другой. При исправной лампе должно быть небольшое сопротивление. В случае обрыва мультиметр покажет бесконечное сопротивление.
- Неисправность стартера — не замыкает цепь накала электродов лампы. Заменить стартер.
- Неисправность дросселя — обрыв в обмотке дросселя или межвитковое замыкание. Обрыв дросселя можно определить с помощью мультиметра.
Лампа не зажигается. Свечение по краям лампы
Неисправность стартера. Если вынуть стартер из держателя, свечение прекратится. Заменить стартер.
Лампа мигает, но не зажигается
- Неисправен стартер — заменить стартер.
- Низкое напряжение сети — проверить мультиметром напряжение.
- Потеря эмиссии электродов лампы — заменить лампу.

Стартер в лампе.
На концах включенной лампы появляется и пропадает оранжевое свечение, лампа не зажигается
В лампу попал воздух — заменить лампу.
Лампа зажигается, но через некоторое время наблюдается потемнение на концах лампы
- Замыкание на корпус светильника — проверить изоляцию.
- Неисправен дроссель — несоответствие пускового и рабочего токов вольт-амперной характеристики. Амперметром проверить значение пускового и рабочего токов.
Лампа периодически зажигается и гаснет
- Неисправна лампа — заменить лампу
- Неисправен стартер — заменить стартер
Лампа зажигается, но на некоторых участках наблюдается свечение в виде оранжевой змейки
- Неисправен дроссель — проверить значение пускового и рабочего токов.
- Неисправна лампа — заменить лампу.
При включении лампы перегорают, потемнение на концах лампы
Пробой изоляции дросселя — заменить дроссель
При работе светильника слышно гудение
Колебание пластин дросселя — заменить дроссель
Изменение цвета свечения лампы – частичное выгорание люминофора вследствии длительного срока службы лампы — заменить лампу.
Рис. 2.41. К вопросу нахождения тангенса угла α
При переходе к частоте, не равной 50 Гц, в формулы (32) ~ (35) вводят вместо коэффициента
0,00318
множитель
1/2π
f
источника
питания схемы, где f
—
частота источника питания схемы.
Практически каждый, кто увлекается электроникой, будь то начинающий, или опытный радиолюбитель, просто обязан иметь в своём арсенале приборы для измерений. Наиболее часто приходится измерять, конечно же, напряжение, ток и сопротивление. Чуть реже, в зависимости от специфики работы, — параметры транзисторов, частоту, температуру, ёмкость, индуктивность.
Сейчас в продаже имеется множество недорогих универсальных цифровых измерительных приборов, так называемых мультиметров. С их помощью можно измерять практически все вышеназванные величины. За исключением, пожалуй, индуктивности, которая очень редко встречается в составе комбинированных приборов. В основном, измеритель индуктивности — это отдельный прибор, также его можно встретить совместно с измерителем ёмкости (LC — метр).
Обычно, измерять индуктивность приходится нечасто. В отношении себя я бы даже сказал — очень редко. Выпаял, например, с какой-нибудь платы катушку, а она без маркировки. Интересно же узнать, какая у неё индуктивность, чтобы потом где-нибудь применить.
Или сам намотал катушку, а проверить нечем. Для таких эпизодических измерений я посчитал нерациональным приобретение отдельного прибора. И вот я начал искать какую-нибудь очень простую схему измерителя индуктивности
Особых требований по точности я не предъявлял, — для любительских самоделок это не столь важно
В качестве средства измерения и индикации в схеме, описанной в статье, применяется цифровой вольтметр с чувствительностью 200 мВ
, который продаётся в виде готового модуля. Я же решил использовать для этой цели обычный цифровой мультиметр UNI-T M838
на пределе измерения 200 мВ
постоянного напряжения. Соответственно, схема упрощается, и в итоге приобретает вид приставки к мультиметру.
Исключён фрагмент. Наш журнал существует на пожертвования читателей. Полный вариант этой статьи доступен только
Я не буду повторять описание работы схемы, всё вы можете прочитать в оригинальной статье (архив внизу). Скажу только немного о калибровке.







